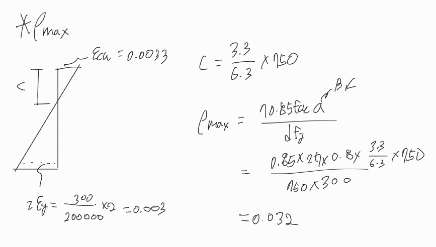
b 500
d 750
fck 27
fy300
에서 최대 철근비를 약산식을 사용하지 않고 계산을 하면 0.032로 답차이가 많이 나는데
틀린 부분이 어디인지 잘 모르겠습니다.
안녕하세요,,,
fy=300MPa일 때 최외단인장철근의 변형률은 0.004인데, 이것을 항복변형률의 두배로 하여 0.003으로 계산한데에 따른 차이로 보여집니다.
학생이 지금 계산하는 방식이 오히려 더 복잡한 방식이므로, 교재에 제시된 방식으로 문제를 해결하시길 권장합니다.
감사합니다.