한솔아카데미 로고

건축기사 건축산업기사

전체메뉴
건축기사 · 산업기사 전체메뉴 보기
건축(산업)기사 학습게시판 강의수강 중 학습관련 질의응답, 한솔아카데미 합격 선배의 생생한 합격수기를 제공합니다.

학습Q&A

HOME > 학습게시판 > 학습Q&A

글보기
제목
사진첨부!! 실기 문제 질문이욤
질문유형 기타문의 > 기사실기바이블(TheBible)
글쓴이 최*원 등록일 2025.10.14 답변상태 답변완료
  • 해설에서 처럼 (1) 그림 그리고 (2) 식이있는데   (1)그림 안그리고 (2)처럼 구간별 변위 / 전체변위 이렇게만 써도 정답처리가 될까여?

  • 안광호 |(2025.10.16 12:15)

    안녕하세요,,,

    그림을 그리지는 않아도 다음과 같은 최소한도의 답안을 작성하여 주시면 되겠습니다.

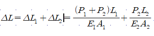
    그림에서 P1-P2를 P1+P2 로 수정해 주시기 바라며, 전체 변위를 산정하는 식의 왼쪽 항에서도 P1+P2로 수정해주시기 바라며, 우측 항의 P를 P2로 수정해 주시기 바랍니다.

    교재의 오탈자는 개정판에 수정반영 해놓도록 하겠습니다.

    감사합니다.

첨부파일

목록

위로