한솔아카데미 로고

건축기사 건축산업기사

전체메뉴
건축기사 · 산업기사 전체메뉴 보기
건축(산업)기사 학습게시판 강의수강 중 학습관련 질의응답, 한솔아카데미 합격 선배의 생생한 합격수기를 제공합니다.

학습Q&A

HOME > 학습게시판 > 학습Q&A

글보기
제목
24년 2회 24번 문제 관련 질의
질문유형 온라인강의 > 실기_건축구조 > 안광호
글쓴이 전*예 등록일 2025.10.27 답변상태 답변완료
  • 안녕하세요. 교수님.

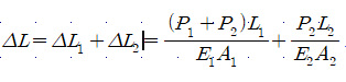
    강의 듣던 중 24년 2회 24번 문제가 강의내용과 책의 정답이 달라서 문의드립니다.

    강의는 P1쪽이 P1+P2라 설명하시는데 책의 정답은 P1-P2라고 되어있습니다.

    어떤게 맞나요?

     

  • 안광호 |(2025.10.28 14:00)

    안녕하세요,,,

     P1+P2 가 맞고, 개정판에 수정 반영 해놓도록 하겠습니다.

    학습에 불편을 드려 죄송합니다.

    감사합니다.

목록

위로