한솔아카데미 로고

건축기사 건축산업기사

전체메뉴
건축기사 · 산업기사 전체메뉴 보기
건축(산업)기사 학습게시판 강의수강 중 학습관련 질의응답, 한솔아카데미 합격 선배의 생생한 합격수기를 제공합니다.

학습Q&A

HOME > 학습게시판 > 학습Q&A

글보기
제목
24년 2회 26번 문제
질문유형 온라인강의 > 실기_건축구조 > 안광호
글쓴이 김*현 등록일 2025.10.27 답변상태 답변완료
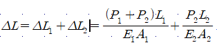
  • 세모L2 분자에서 P만 P2로 바꿔주면 되는 거죠? 전체변위에서도 P를 P2로 바꿔야 하구요

    인터넷에 검색해보니 세모L1분자에 (P1-P2)를 (P1+P2)로 바꿔줘야한다는 자료가 있어서요. 

  • 안광호 |(2025.10.28 14:19)

    안녕하세요,,,

    교재의 출간 과정에서 오류가 발생하였으며, 다음과 같이 답안을 수정해주시기 바랍니다.

    학습에 불편을 드려 죄송하며, 개정판에는 오류를 수정해 놓도록 하겠습니다.

    감사합니다.

첨부파일

목록

위로